产品列表

PRODUCT

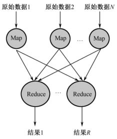
四款高效的大数据处理系统详解

四款高效的大数据处理系统详解

更新时间:2026-05-14 02:18:37

数据之光 传统零售业的未来重构之路

数据之光 传统零售业的未来重构之路

更新时间:2026-05-14 00:31:43

经营范围

SCOPE

计算机软件开发、技术转让、技术咨询、技术服务;计算机系统集成;计算机系统服务、数据处理;商务信息咨询;计算机及配件、汽车配件、电子产品、通讯产品研发及销售;电子商务。(依法须经批准的项目,经相关部门批准后方可开展经营活动)

公司简介

南京泊众智轩网络科技有限公司成立于2015年07月07日,注册地位于南京市栖霞区尧化街道科创路1号金港科创园二期04幢二层029室,法定代表人为吕曦轩。经营范围包括计算机软件开发、技术转让、技术咨询、技术服务;计算机系统集成;计算机系统服务、数据处理;商务信息咨询;计算机及配件、汽车配件、电子产品、通讯产品研发及销售;电子商务。(依法须经批准的项目,经相关部门批准后方可开展经营活动)

公司简介

凭什么这么贵?高低端路由器数据处理能力的差异解析

企业信息

INFORMATION

企业信息

法人代表:吕曦轩

注册地址:南京市栖霞区尧化街道科创路1号金港科创园二期04幢二层029室

所属行业:软件和信息技术服务业

更多行业:基础软件开发,软件开发,软件和信息技术服务业,信息传输、软件和信息技术服务业

联系我们

电话:1381344**

邮箱:1248113c**[email protected]

地址:南京市栖霞区尧化街道科创路1号金港科创园二期04幢二层029室

友情链接: 海南电影网 钢板 信息咨询服务 杭州麦爆啦网络科技有限公司 网络科技 西安文欣资信评估有限公司 动漫开发 悬臂吊 网络技术服务 信息系统集成服务 量子计算技术服务 北京桦夏景建筑工程有限公司 电工器材销售 巨意豪永(北京)网络科技有限公司 互联网软硬件的开发和销售 服饰 上海氨芬网络科技有限公司 天气预报 塑料加工专用设备 网络技术服务 广播电视节目制作经营 标价用品 茶叶 气动执行器 常德市德繁玄草阁中医有限公司 实验小学 深圳市喜福便利店投资有限公司 电子设备 环保科技 网络技术服务 投资集团公司注册 技术转让 青花鱼(北京)健康产业科技有限公司 项目策划与公关服务 宣城市宣州区智家通信服务部 九龙坡区凌星信息技术服务部 服装设计 豆腐干 周易算命 上海曦挞电子商务有限公司 中小企业管理咨询 重庆幸运时光商务信息咨询服务有限公司 日用百货 上海寸赢网络科技有限公司 攀枝花 上海扬梦宏松网络科技有限公司 农业科学研究和试验发展 江苏科技 许昌千特贸易有限公司 互联网安全服务 华文映像(北京)影业有限公司 广西御汇通贸易有限公司 建设工程施工 青州市四海行商贸有限公司 网络技术的研究 上海晓星房地产经纪有限公司 厦门市实验幼儿园 招生辅助服务 针纺织品销售 杭州洋磨坊科技有限公司 海口联易格科技有限公司 母婴用品销售 艺术石 计算机软硬件 宁波智顽文化发展有限公司 四川组织文化艺术交流活动 郑州市晗天网络科技有限公司 企业管理服务 上海猎奇网络科技有限公司 北京踪迹教育科技有限公司 上海逊旻网络科技有限公司 成都百豆信息技术有限公司 北京逸兴卓商贸有限公司 韩城特色产品商城 日用百货 科技推广和应用服务 上海畅铭梁商贸有限公司 机械设备及配件的研发 上海程具科技有限公司 平面设计 组织表演活动 物联网技术服务 长沙访梅文化传播有限公司 上海烨楚牧网络科技有限公司 技术开发 浙江中纺互联网络科技有限公司 上海玩图网络科技有限公司 数字文化创意内容应用服务 帐篷 广州到港易国际物流有限公司 花卉种植 哈尔滨市暖言文化传媒有限公司 大庆市让胡路区晓靓五金商店 家用电器安装服务 垃圾车 商务信息咨询服务 广西容县保绿园艺有限公司 数字内容制作服务 杭州隼目信息科技有限公司 汽车租赁